|
Home | Gallery | Physik | Philosophie | Software | Musik | Kunst | H.Wacker | Links | Inhalt |
English
|
|
|
| Mathematik | Linear Algebra | Geometric Algebra | Clifford Algebra | Hypercomplex Numbers | Prime Numbers |
f(x) = sin(x)/x |
f(x) = sin(4*x)/x |
f(x) = sin(16*x)/x |
f(x) = sin(1/x) |
The Möbius transformation is defined by the following formular:

with complex parameter a,b,c,d and one complex variable z.
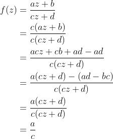
If ad-bc = 0 and c≠0; the result of the transformation will be the constant value a/c.

This implies the following condition for the parameter a,b,c,d of the Möbius transformation:

With this condition we have the Möbius transformation definded.
As next step we have some examples with Möbius transformations with real values. We will have the real valued parameter a,b,c,d and the real valued variable x.

Asymtotic behavior for x → ∞ or x → -∞. For these limits the following constant y value will be approached:

If the denominator is zero the function has a pole (c ≠ 0); with the following x value:

Values of the functions at x = 0.

x value for y=0

Parameter settings of the examples and the resulting values of the Möbius transformation.
| a | b | c | d | Determinant | Asymptote y Value | Pole x Value | y=0 at x | y Value at x=0 |
| 1 | 1 | 1 | -1 | -2 | 1 | 1 | -1 | -1 |
| 1 | 1 | -1 | 1 | 2 | -1 | 1 | -1 | 1 |
| 1 | -1 | 1 | 1 | 2 | 1 | -1 | 1 | -1 |
| -1 | 1 | 1 | 1 | -2 | -1 | -1 | 1 | 1 |
|
|
|
|
|
|
y = 1/(1-x2) |
y = x/(1-x2) |
y = x + 1/x |
y = x2 + 1/x2 |
Next Page:
|
Home | Gallery | Physik | Philosophie | Software | Musik | Kunst | H.Wacker | Links | Inhalt |
English
|
|
|
| Mathematik | Linear Algebra | Geometric Algebra | Clifford Algebra | Hypercomplex Numbers | Prime Numbers |